Accelerate to discover

Back to filter

Related topics

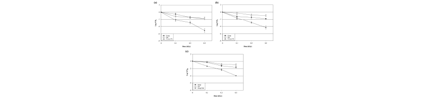
Combination of low-energy X-ray & citric acid to inactivate E.coli, S.Typhimurium, L.Monocitogenes

Combination of low-energy X-ray & citric acid to inactivate E.coli, S.Typhimurium, L.Monocitogenes

X Rad160XL from Precision X-Ray was employed to generate low-energy X-ray irradiation, which, when combined with citric acid, significantly reduced biofilm cell counts of E. coli O157:H7, S. Typhimurium, and L. monocytogenes on stainless steel surfaces. This combined treatment showcased a synergistic effect, enhancing the anti-biofilm properties of citric acid and demonstrating the potential of this method for sanitizing food-contact surfaces in food-processing environments.

Read more

Related technologies: X-ray irradiation

Irina Cojocaru

Irina Cojocaru

+40 749 952 785

Send Message

Precision X-Ray

Precision X-ray is the leading provider of safe, high output X-Ray irradiators used in modern translational research.

Related products

The compact cabinet X-ray irradiator designed for superficial irradiation studies, and is ideal for delivering high doses to cell and tissue cultures

show detail